首页 > 声乐 > 简谱 / 正文内容_伏尔加之歌-伏尔加之歌简谱

伏尔加之歌-伏尔加之歌简谱

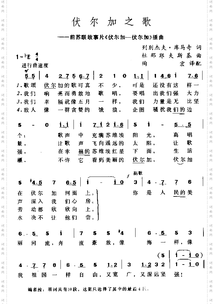
伏尔加之歌

相关话题:伏尔加之歌

乐器分类
戏曲专栏
热门话题