首页 > 声乐 > 简谱 / 正文内容_杨基•嘟得儿-简谱

杨基•嘟得儿-简谱

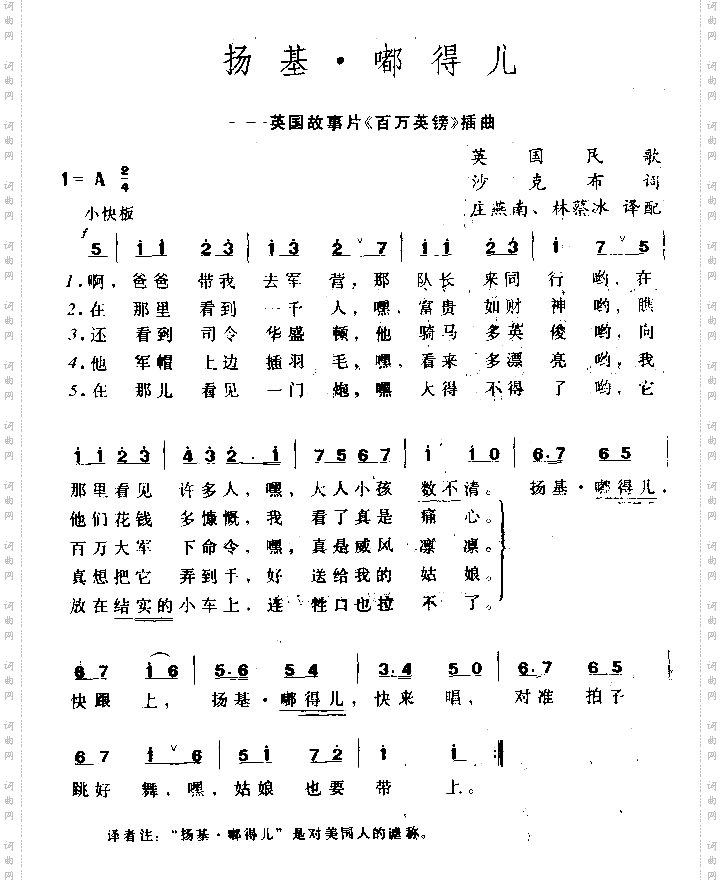
杨基•嘟得儿

相关话题:

猜你喜欢的简谱

    暂无相关信息
乐器分类
戏曲专栏
热门话题