首页 > 声乐 > 简谱 / 正文内容_货郎-货郎简谱

货郎-货郎简谱

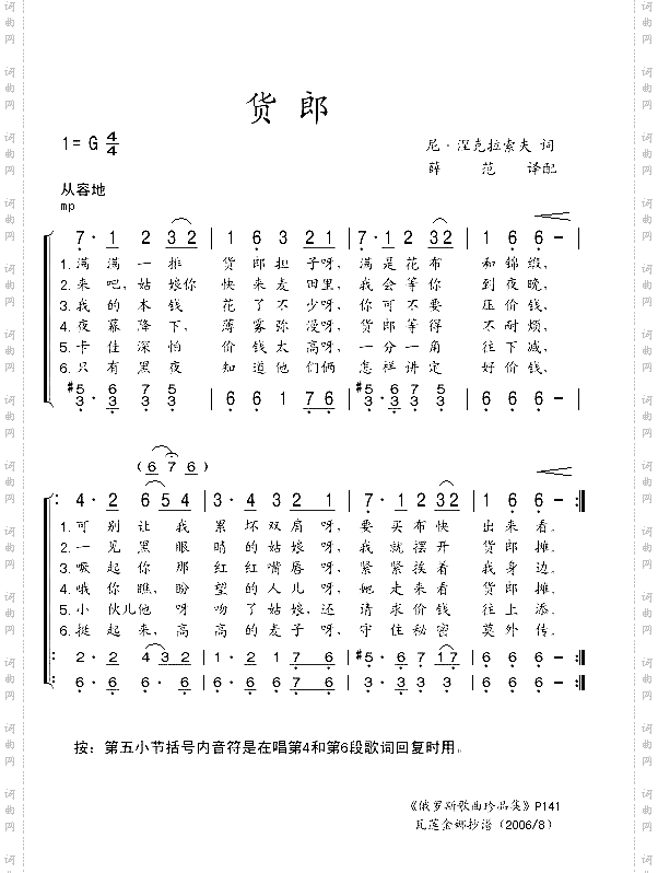
货郎

相关话题:货郎

猜你喜欢的简谱

乐器分类
戏曲专栏
热门话题