首页 > 声乐 > 简谱 / 正文内容_老橡树上的黄丝带-PeteFountain,Dawn简谱

老橡树上的黄丝带-PeteFountain,Dawn简谱

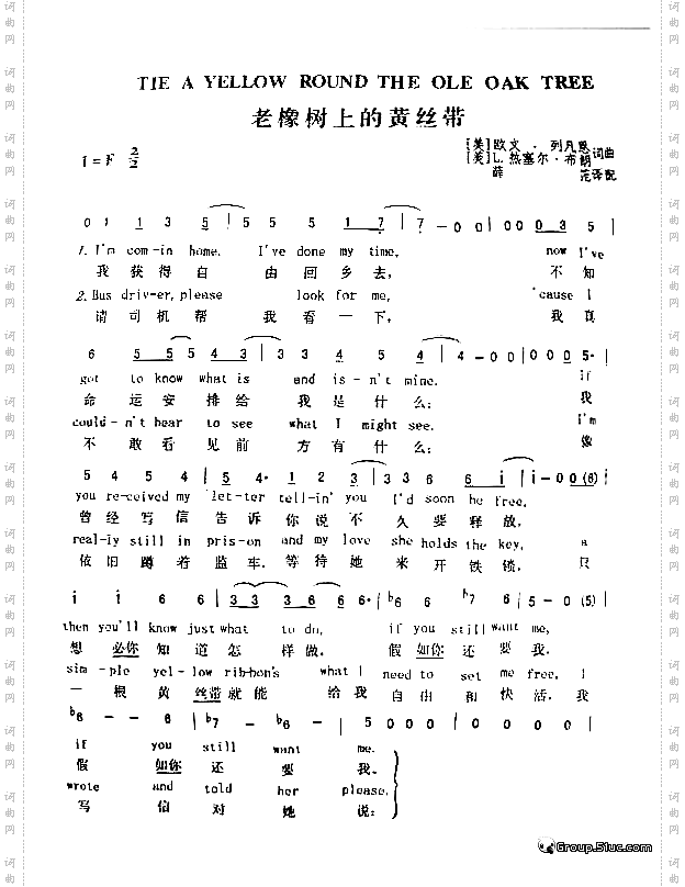
老橡树上的黄丝带

老橡树上的黄丝带

相关话题:PeteFountain   Dawn

乐器分类
戏曲专栏
热门话题