首页 > 声乐 > 简谱 / 正文内容_好样儿的姑娘们哪-拉丽莎·多林娜,伊林娜·奥季耶娃简谱

好样儿的姑娘们哪-拉丽莎·多林娜,伊林娜·奥季耶娃简谱

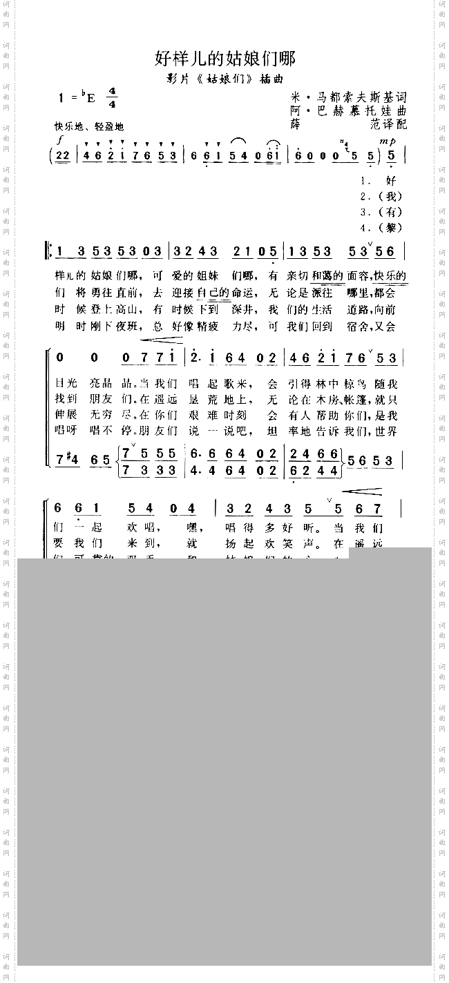
好样儿的姑娘们哪

相关话题:拉丽莎·多林娜   伊林娜·奥季耶娃

猜你喜欢的简谱

乐器分类
戏曲专栏
热门话题