首页 > 声乐 > 简谱 / 正文内容_纯洁的露珠-纯洁的露珠简谱

纯洁的露珠-纯洁的露珠简谱

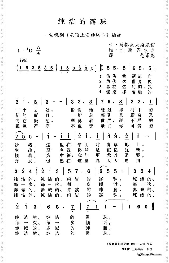
纯洁的露珠

相关话题:纯洁的露珠

乐器分类
戏曲专栏
热门话题