首页 > 声乐 > 简谱 / 正文内容_和你唠家常-和你唠家常,金航,金航简谱

和你唠家常-和你唠家常,金航,金航简谱

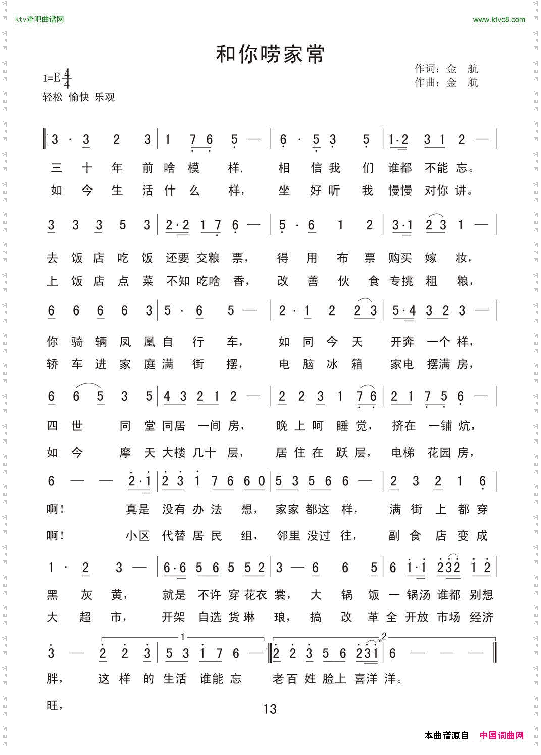
和你唠家常

相关话题:和你唠家常   金航   金航

乐器分类
戏曲专栏
热门话题