首页 > 声乐 > 简谱 / 正文内容_唱不尽洪湖我的歌-朱公瑾,胡建成,敖程勇简谱

唱不尽洪湖我的歌-朱公瑾,胡建成,敖程勇简谱

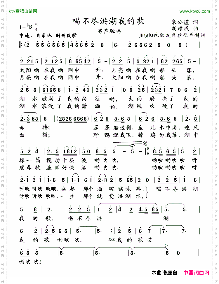
唱不尽洪湖我的歌

相关话题:朱公瑾   胡建成   敖程勇

乐器分类
戏曲专栏
热门话题