首页 > 声乐 > 简谱 / 正文内容_献上活祭-献上活祭简谱

献上活祭-献上活祭简谱

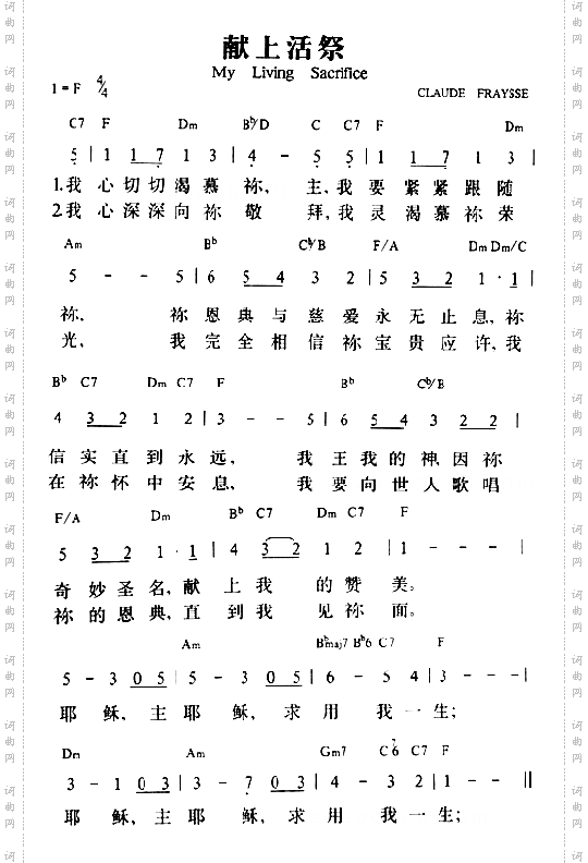
献上活祭

相关话题:献上活祭

乐器分类
戏曲专栏
热门话题