首页 > 声乐 > 简谱 / 正文内容_你听见了吗-你听见了吗简谱

你听见了吗-你听见了吗简谱

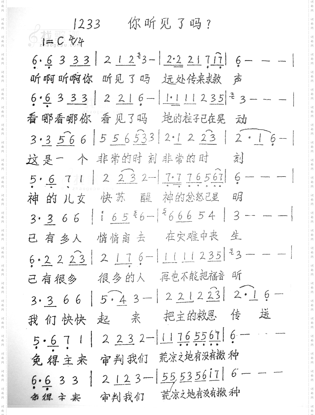
你听见了吗

相关话题:你听见了吗

乐器分类
戏曲专栏
热门话题