首页 > 声乐 > 简谱 / 正文内容_野蛮游戏-野蛮游戏,蔡依林简谱

野蛮游戏-野蛮游戏,蔡依林简谱

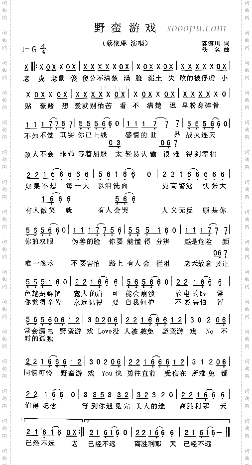
野蛮游戏

相关话题:野蛮游戏   蔡依林

乐器分类
戏曲专栏
热门话题