首页 > 声乐 > 简谱 / 正文内容_橄榄树电影《欢颜》主题歌-齐豫简谱

橄榄树电影《欢颜》主题歌-齐豫简谱

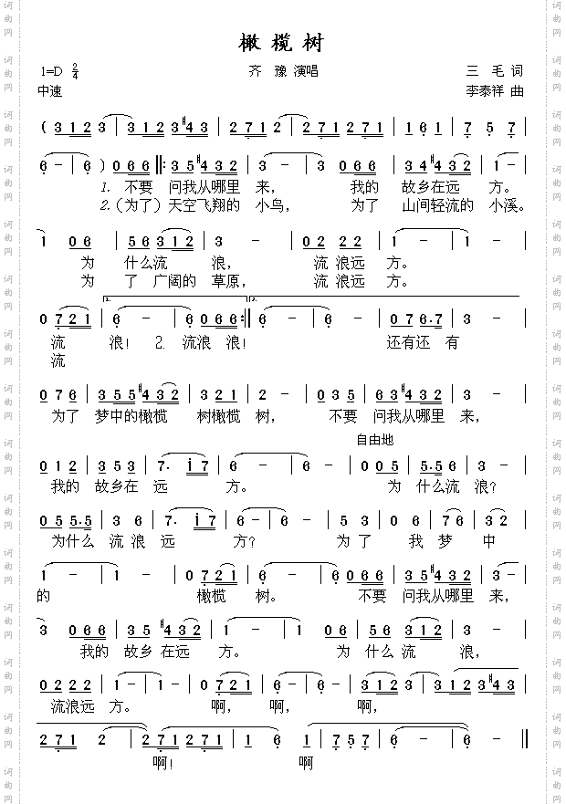
橄榄树电影《欢颜》主题歌

相关话题:齐豫

乐器分类
戏曲专栏
热门话题