首页 > 声乐 > 简谱 / 正文内容_大家给你当当参谋长-34110部队文艺队,万长海简谱

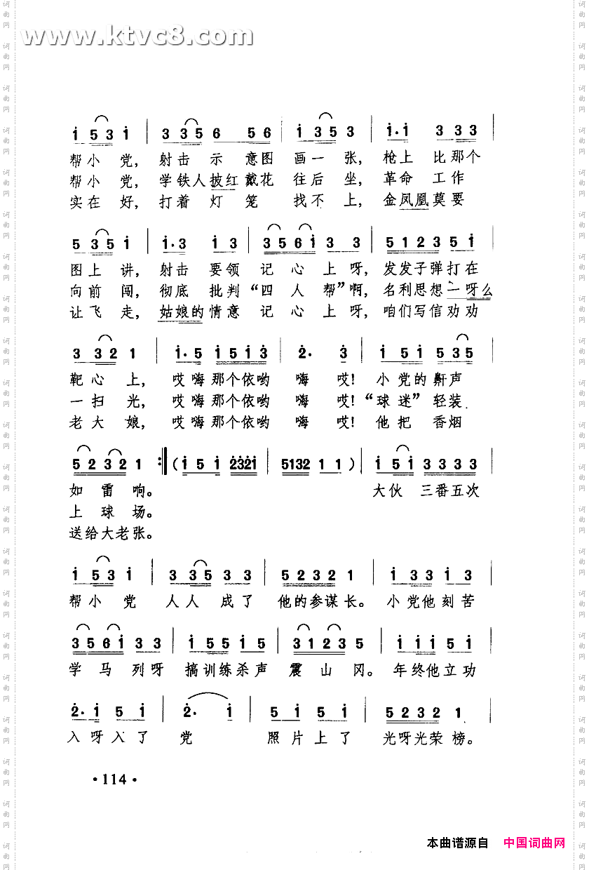
大家给你当当参谋长-34110部队文艺队,万长海简谱

大家给你当当参谋长

大家给你当当参谋长

大家给你当当参谋长

大家给你当当参谋长

相关话题:34110部队文艺队   万长海

乐器分类
戏曲专栏
热门话题