首页 > 声乐 > 简谱 / 正文内容_祖国的海洋-祖国的海洋,王昕朋,戚建波,常思思,刘和刚简谱

祖国的海洋-祖国的海洋,王昕朋,戚建波,常思思,刘和刚简谱

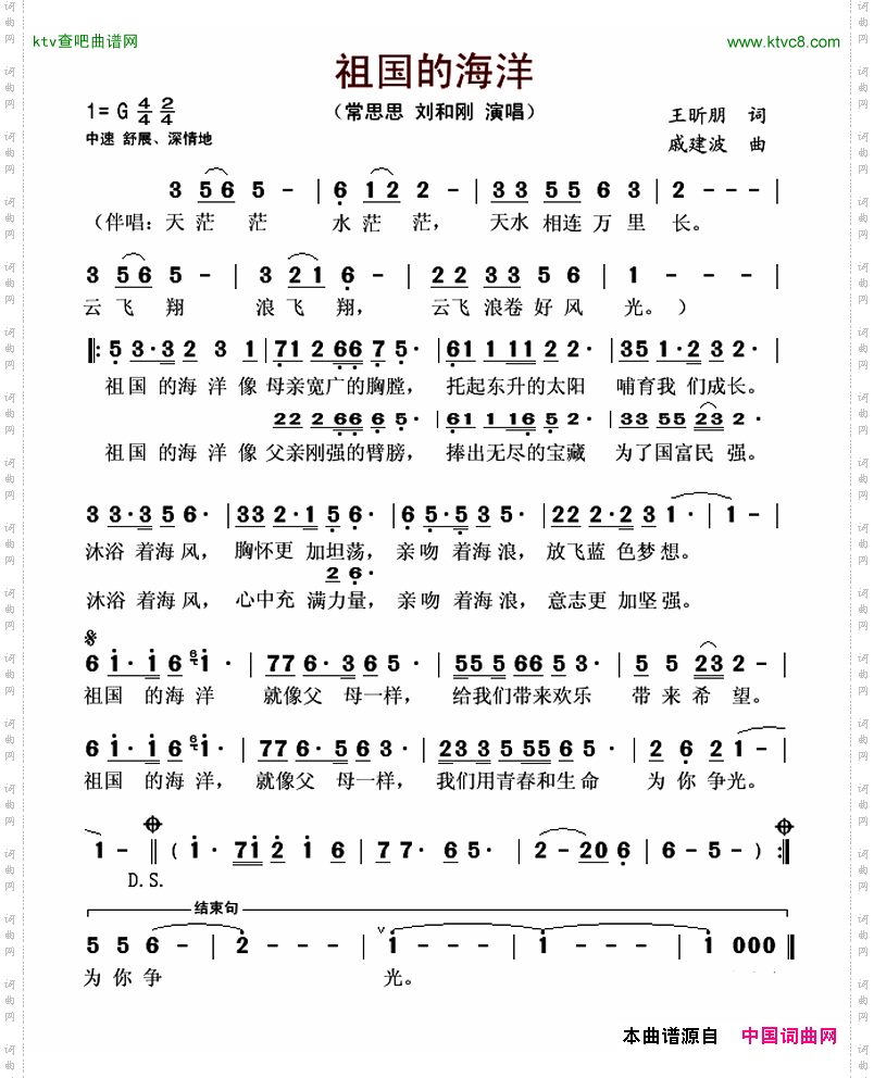
祖国的海洋

相关话题:祖国的海洋   王昕朋   戚建波   常思思   刘和刚

乐器分类
戏曲专栏
热门话题