首页 > 声乐 > 简谱 / 正文内容_我需要爱-我需要爱,美国歌曲简谱

我需要爱-我需要爱,美国歌曲简谱

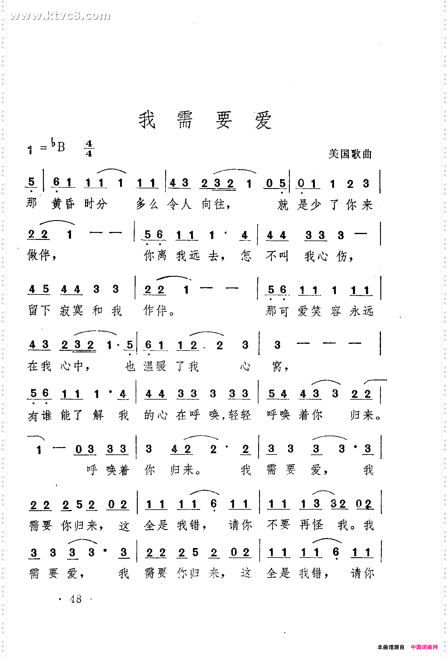
我需要爱

我需要爱

我需要爱

相关话题:我需要爱   美国歌曲

乐器分类
戏曲专栏
热门话题