首页 > 声乐 > 简谱 / 正文内容_黄河的源头-黄河的源头简谱

黄河的源头-黄河的源头简谱

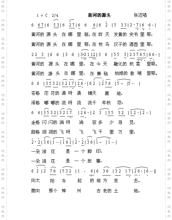
黄河的源头

相关话题:黄河的源头

猜你喜欢的简谱

乐器分类
戏曲专栏
热门话题