首页 > 声乐 > 简谱 / 正文内容_永世之光-永世之光简谱

永世之光-永世之光简谱

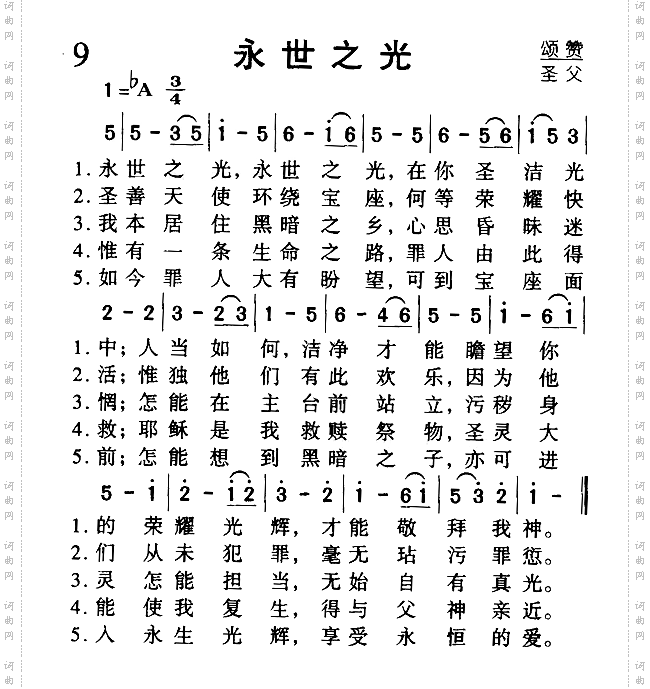
永世之光

相关话题:永世之光

乐器分类
戏曲专栏
热门话题