首页 > 声乐 > 简谱 / 正文内容_爱拼才会赢-爱拼才会赢简谱

爱拼才会赢-爱拼才会赢简谱

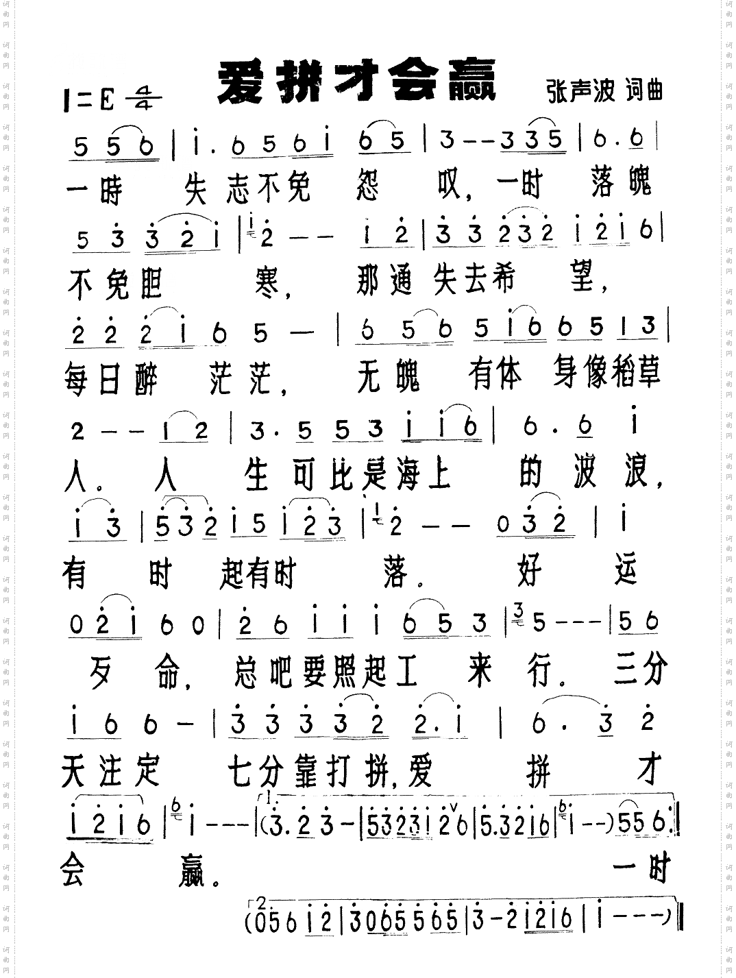
爱拼才会赢

相关话题:爱拼才会赢

乐器分类
戏曲专栏
热门话题