首页 > 声乐 > 简谱 / 正文内容_亲亲的茉莉花-亲亲的茉莉花简谱

亲亲的茉莉花-亲亲的茉莉花简谱

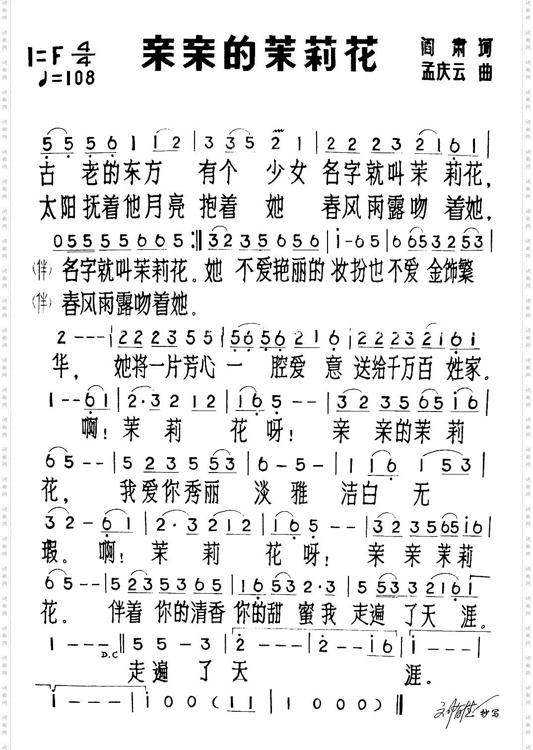
亲亲的茉莉花

相关话题:亲亲的茉莉花

乐器分类
戏曲专栏
热门话题