首页 > 声乐 > 简谱 / 正文内容_友谊地久天长-友谊地久天长简谱

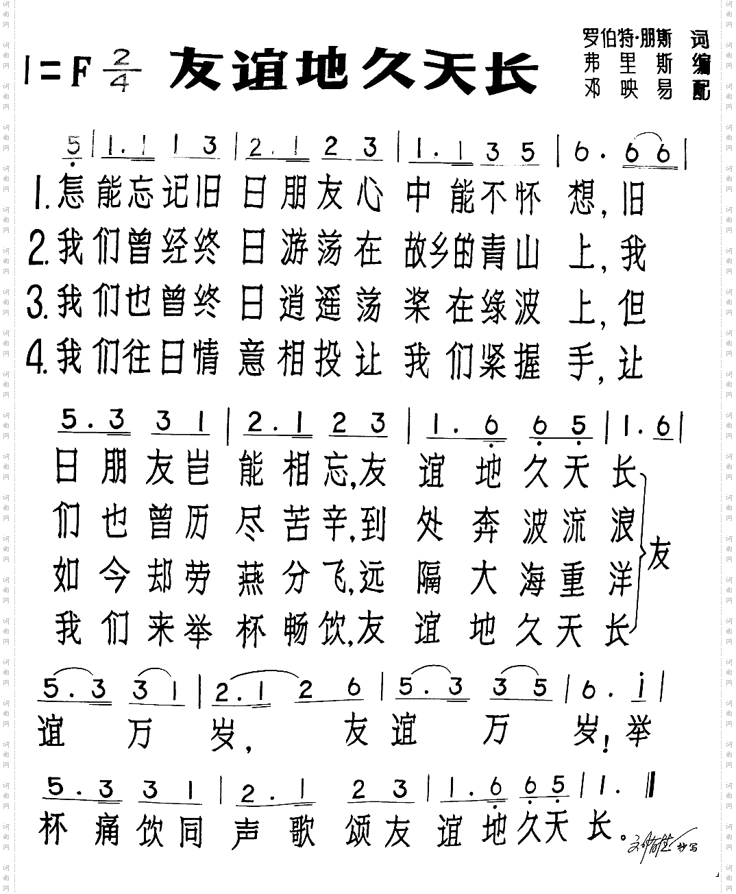
友谊地久天长-友谊地久天长简谱

友谊地久天长

相关话题:友谊地久天长

乐器分类
戏曲专栏
热门话题