首页 > 声乐 > 简谱 / 正文内容_快乐快乐我们崇拜-简谱

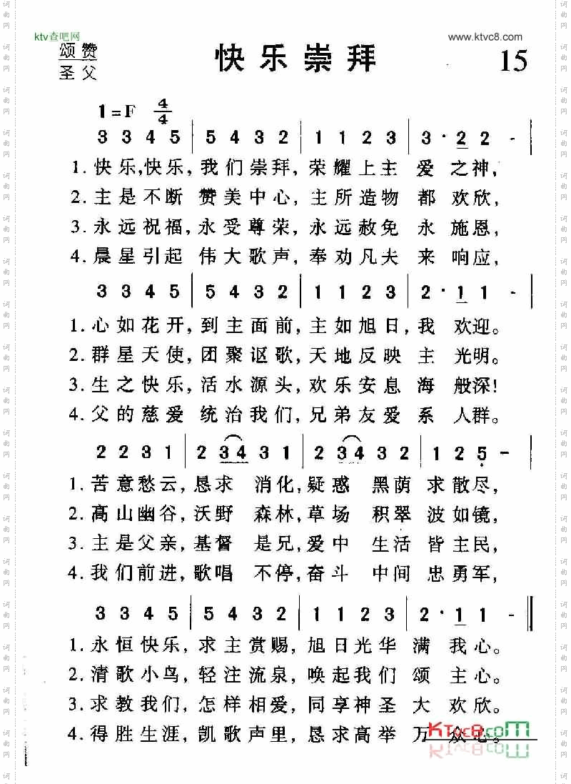
快乐快乐我们崇拜-简谱

快乐快乐我们崇拜

相关话题:

猜你喜欢的简谱

    暂无相关信息
乐器分类
戏曲专栏
热门话题