首页 > 声乐 > 简谱 / 正文内容_父啊久在创世之前-简谱

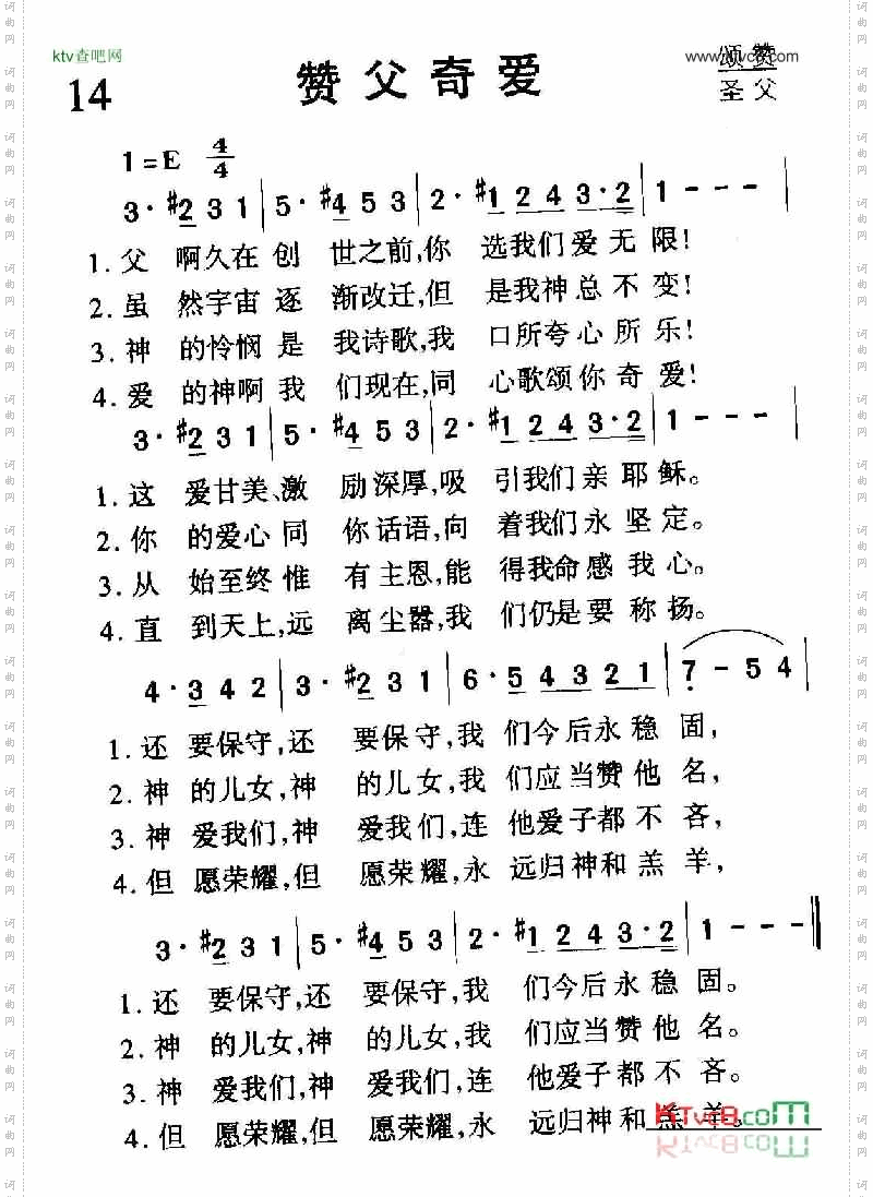
父啊久在创世之前-简谱

父啊久在创世之前

相关话题:

猜你喜欢的简谱

    暂无相关信息
乐器分类
戏曲专栏
热门话题