首页 > 声乐 > 简谱 / 正文内容_神圣的敖包徐怀亮词赵勇曲_神圣的敖包徐怀亮词 赵勇曲-徐怀亮,赵勇简谱

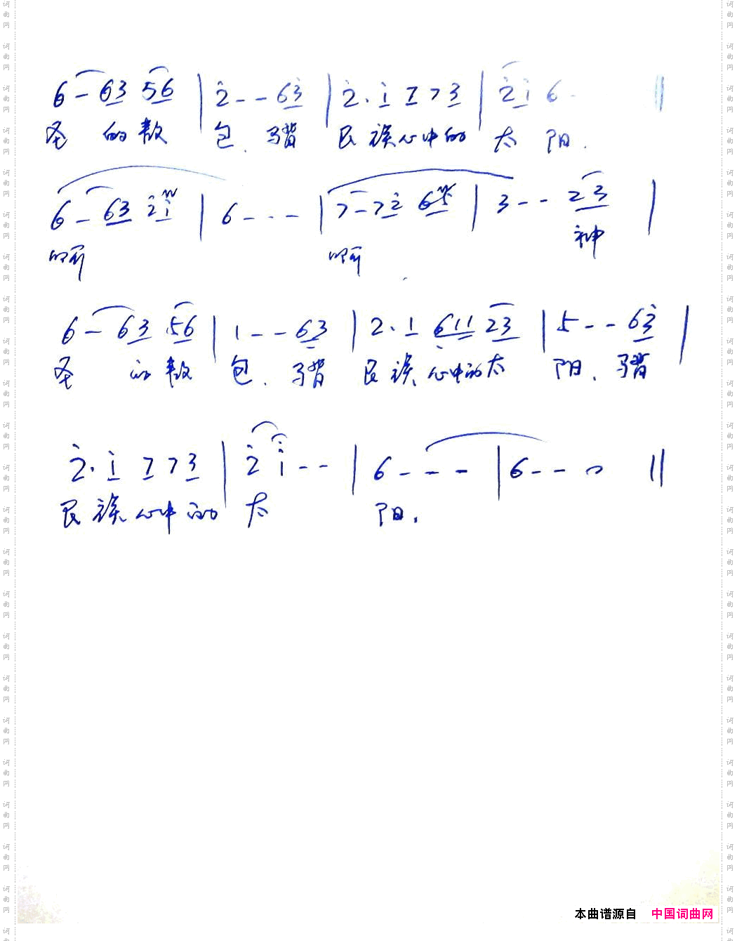
神圣的敖包徐怀亮词赵勇曲_神圣的敖包徐怀亮词 赵勇曲-徐怀亮,赵勇简谱

神圣的敖包徐怀亮词赵勇曲_神圣的敖包徐怀亮词 赵勇曲

神圣的敖包徐怀亮词赵勇曲_神圣的敖包徐怀亮词 赵勇曲

神圣的敖包徐怀亮词赵勇曲_神圣的敖包徐怀亮词 赵勇曲

相关话题:徐怀亮   赵勇

乐器分类
戏曲专栏
热门话题