首页 > 声乐 > 简谱 / 正文内容_不老的草原-不老的草原,华政双简谱

不老的草原-不老的草原,华政双简谱

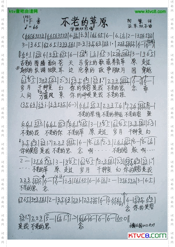
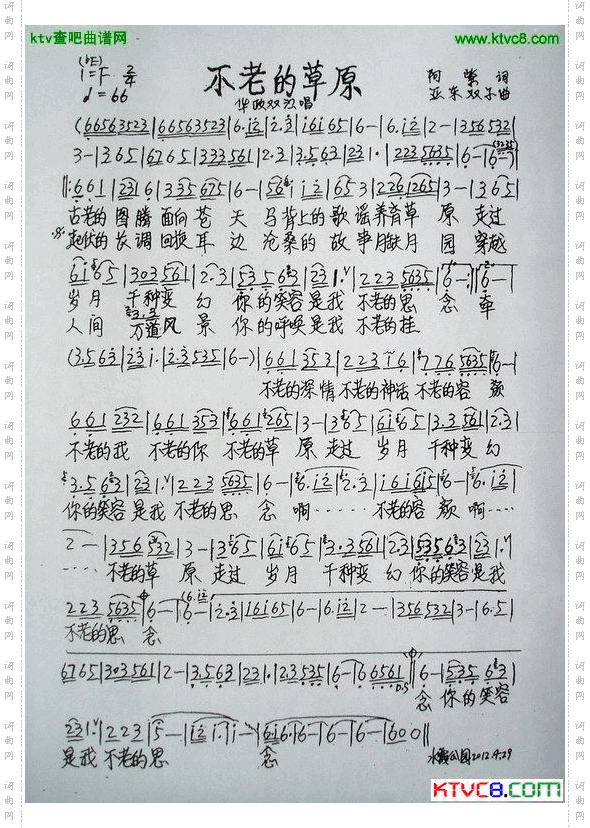
不老的草原

不老的草原

相关话题:不老的草原   华政双

乐器分类
戏曲专栏
热门话题