首页 > 声乐 > 简谱 / 正文内容_呼唤韩国电视剧《大长今》主题曲-汤灿简谱

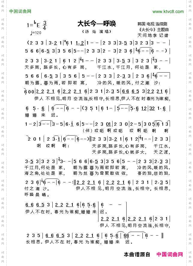
呼唤韩国电视剧《大长今》主题曲-汤灿简谱

呼唤韩国电视剧《大长今》主题曲

相关话题:汤灿

乐器分类
戏曲专栏
热门话题