首页 > 声乐 > 简谱 / 正文内容_国际歌-国际歌,唐朝乐队简谱

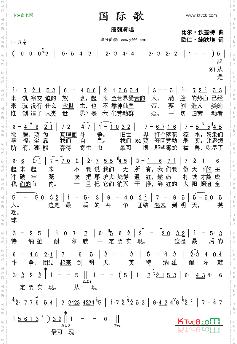
国际歌-国际歌,唐朝乐队简谱

国际歌

相关话题:国际歌   唐朝乐队

乐器分类
戏曲专栏
热门话题