首页 > 声乐 > 简谱 / 正文内容_用生命捍卫祖国的尊严-卢晓华简谱

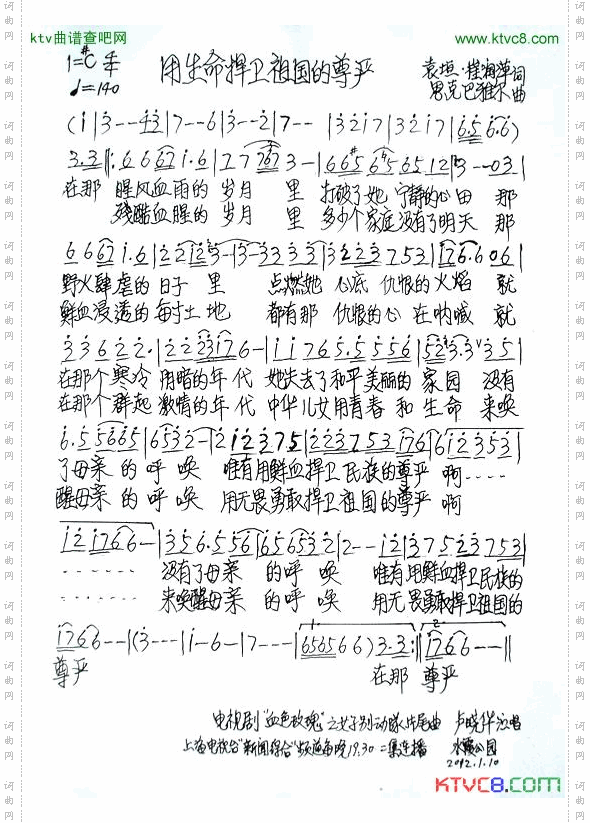
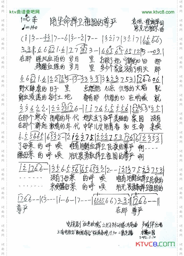
用生命捍卫祖国的尊严-卢晓华简谱

用生命捍卫祖国的尊严

用生命捍卫祖国的尊严

用生命捍卫祖国的尊严

用生命捍卫祖国的尊严

用生命捍卫祖国的尊严

相关话题:卢晓华

乐器分类
戏曲专栏
热门话题