首页 > 声乐 > 简谱 / 正文内容_喀秋莎-喀秋莎,伊萨科夫斯基,勃兰切尔,廖昌永简谱

喀秋莎-喀秋莎,伊萨科夫斯基,勃兰切尔,廖昌永简谱

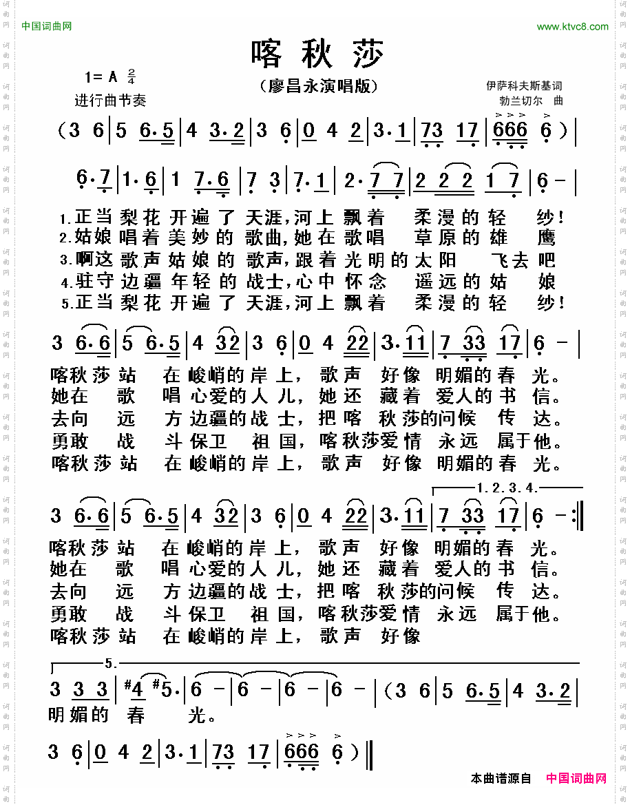
喀秋莎

相关话题:喀秋莎   伊萨科夫斯基   勃兰切尔   廖昌永

乐器分类
戏曲专栏
热门话题