首页 > 声乐 > 简谱 / 正文内容_没钱也潇洒-没钱也潇洒简谱

没钱也潇洒-没钱也潇洒简谱

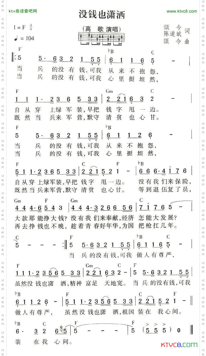
没钱也潇洒

相关话题:没钱也潇洒

乐器分类
戏曲专栏
热门话题