首页 > 声乐 > 简谱 / 正文内容_我知道你一定会来-吴依琳简谱

我知道你一定会来-吴依琳简谱

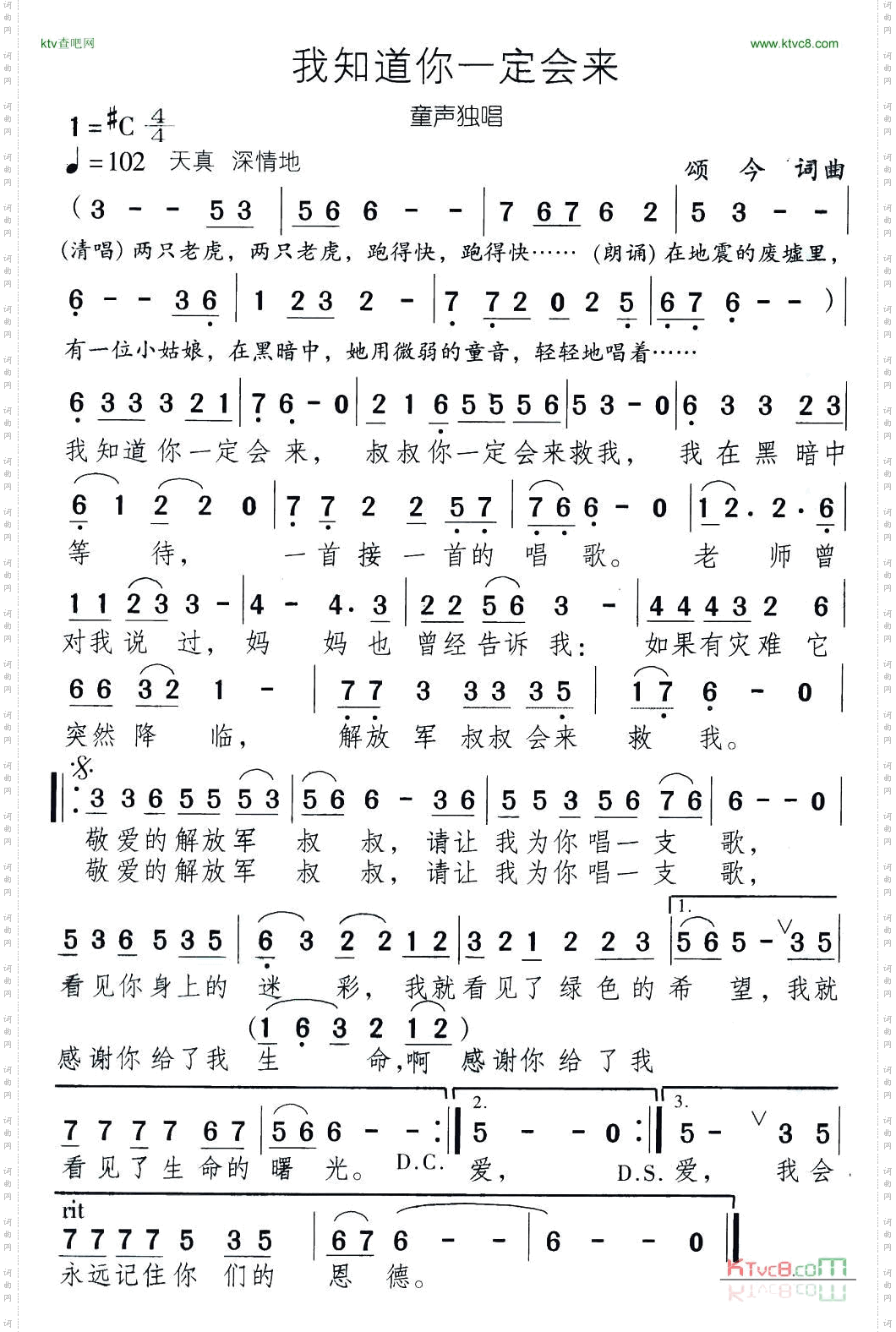
我知道你一定会来

相关话题:吴依琳

乐器分类
戏曲专栏
热门话题