首页 > 声乐 > 简谱 / 正文内容_我欠草原一个吻-飞鹰,黎荣军简谱

我欠草原一个吻-飞鹰,黎荣军简谱

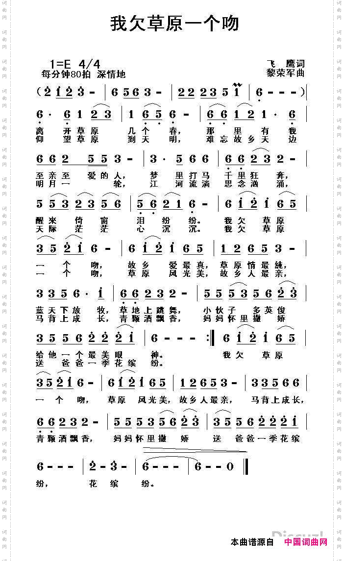
我欠草原一个吻

相关话题:飞鹰   黎荣军

乐器分类
戏曲专栏
热门话题