首页 > 声乐 > 简谱 / 正文内容_妈妈祁隆词曲-妈妈祁隆词曲,祁隆简谱

妈妈祁隆词曲-妈妈祁隆词曲,祁隆简谱

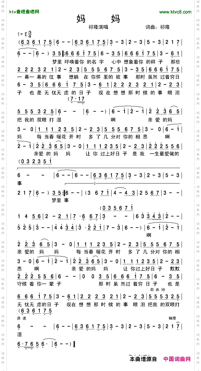
妈妈祁隆词曲

相关话题:妈妈祁隆词曲   祁隆

乐器分类
戏曲专栏
热门话题