首页 > 声乐 > 简谱 / 正文内容_马赛曲-马赛曲简谱

马赛曲-马赛曲简谱

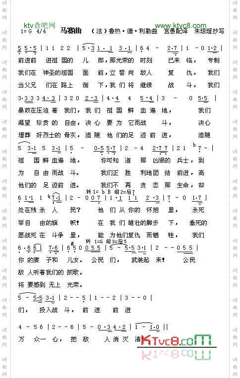
马赛曲

相关话题:马赛曲

乐器分类
戏曲专栏
热门话题