首页 > 声乐 > 简谱 / 正文内容_登黄山偶感-登黄山偶感简谱

登黄山偶感-登黄山偶感简谱

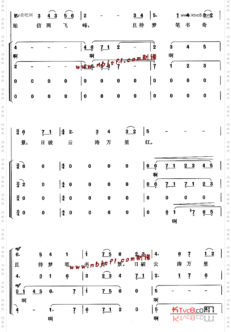
登黄山偶感

登黄山偶感

登黄山偶感

登黄山偶感

相关话题:登黄山偶感

乐器分类
戏曲专栏
热门话题