首页 > 声乐 > 简谱 / 正文内容_一壶老酒-一壶老酒,陆树铭,陆树铭,陆树铭简谱

一壶老酒-一壶老酒,陆树铭,陆树铭,陆树铭简谱

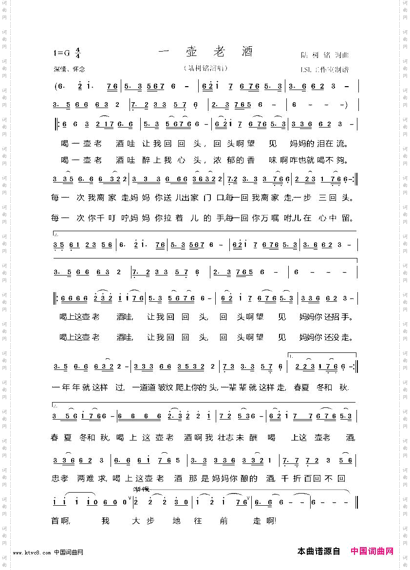
一壶老酒

一壶老酒

相关话题:一壶老酒   陆树铭   陆树铭   陆树铭

乐器分类
戏曲专栏
热门话题