首页 > 声乐 > 简谱 / 正文内容_金秋大学堂-金秋大学堂,艾惠秀,泉乡剑客简谱

金秋大学堂-金秋大学堂,艾惠秀,泉乡剑客简谱

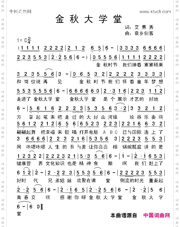
金秋大学堂

相关话题:金秋大学堂   艾惠秀   泉乡剑客

乐器分类
戏曲专栏
热门话题