首页 > 声乐 > 简谱 / 正文内容_我俩永隔一条水新疆俄罗斯族民歌-新疆俄罗斯族民歌简谱

我俩永隔一条水新疆俄罗斯族民歌-新疆俄罗斯族民歌简谱

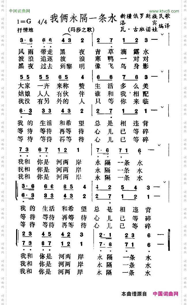
我俩永隔一条水新疆俄罗斯族民歌

我俩永隔一条水新疆俄罗斯族民歌

相关话题:新疆俄罗斯族民歌

乐器分类
戏曲专栏
热门话题