首页 > 声乐 > 简谱 / 正文内容_共圆中国梦-共圆中国梦,李勤,汤子星,王丽达简谱

共圆中国梦-共圆中国梦,李勤,汤子星,王丽达简谱

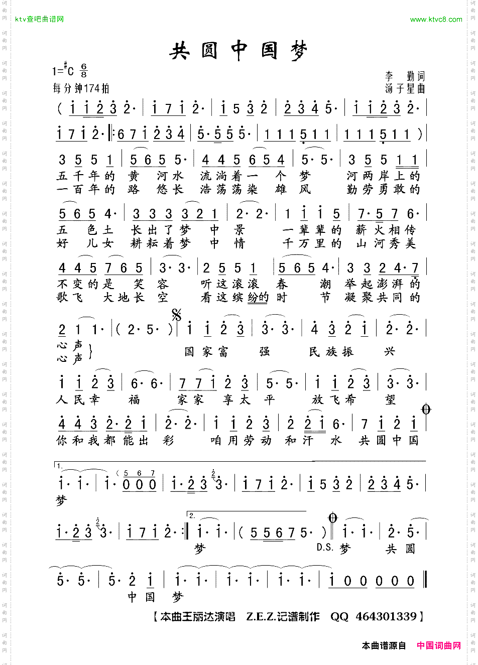
共圆中国梦

共圆中国梦

相关话题:共圆中国梦   李勤   汤子星   王丽达

乐器分类
戏曲专栏
热门话题