首页 > 声乐 > 简谱 / 正文内容_梦里全是你-梦里全是你,田韶华,胡润华,方舟简谱

梦里全是你-梦里全是你,田韶华,胡润华,方舟简谱

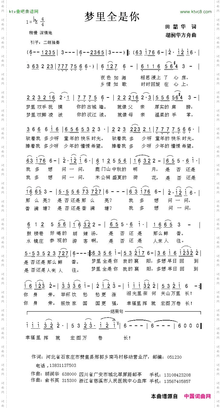
梦里全是你

梦里全是你

相关话题:梦里全是你   田韶华   胡润华   方舟

乐器分类
戏曲专栏
热门话题