首页 > 声乐 > 简谱 / 正文内容_我的大黄河-我的大黄河,聂建新,石茂海简谱

我的大黄河-我的大黄河,聂建新,石茂海简谱

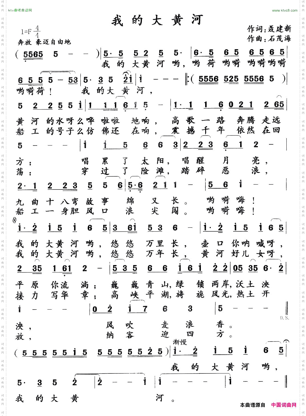
我的大黄河

我的大黄河

相关话题:我的大黄河   聂建新   石茂海

乐器分类
戏曲专栏
热门话题