首页 > 声乐 > 简谱 / 正文内容_中国进行曲-中国进行曲,潘鹏晖,高鹰简谱

中国进行曲-中国进行曲,潘鹏晖,高鹰简谱

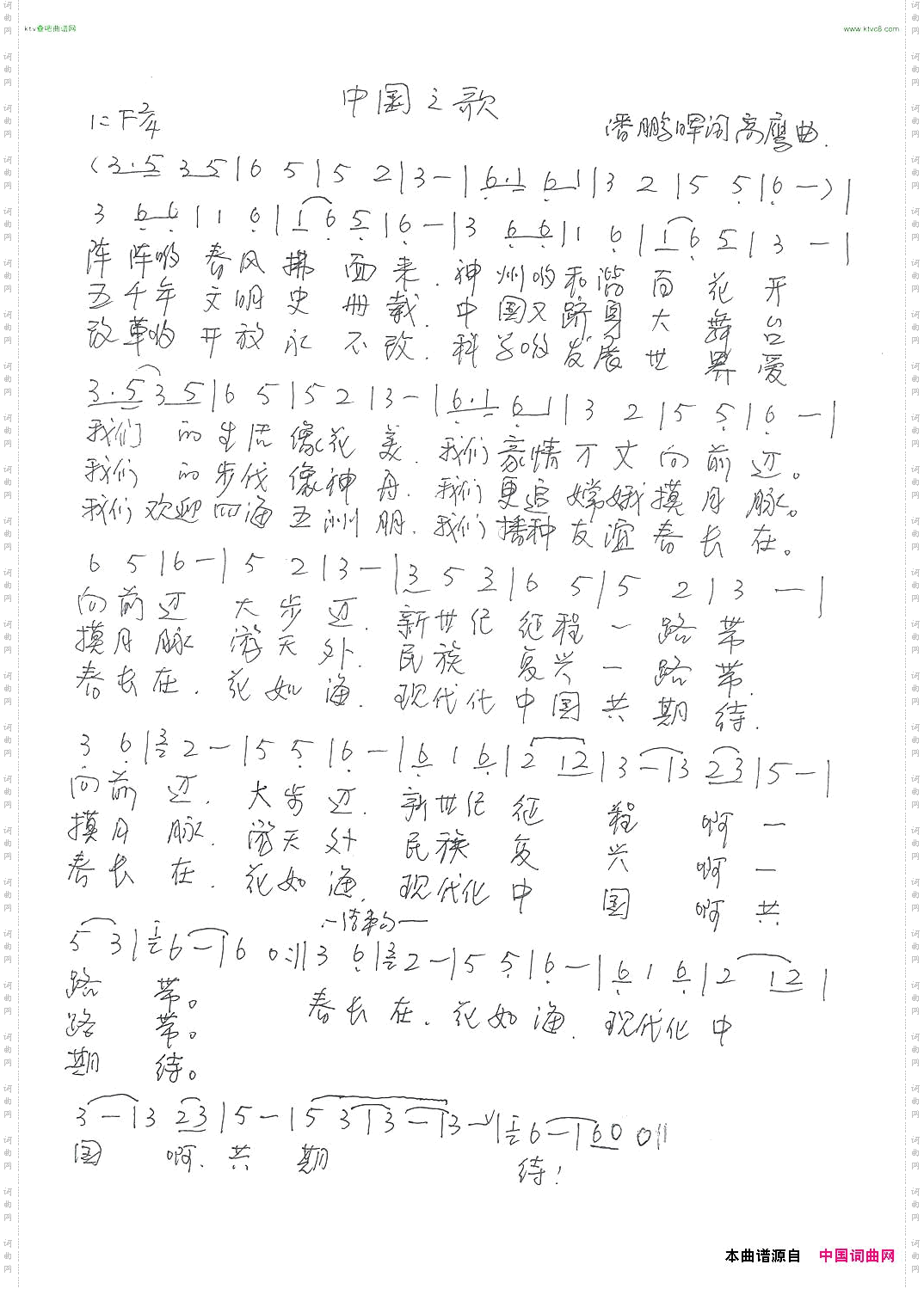
中国进行曲

中国进行曲

相关话题:中国进行曲   潘鹏晖   高鹰

乐器分类
戏曲专栏
热门话题