首页 > 声乐 > 简谱 / 正文内容_河南美食顶呱呱-陈善友,胡玉昌简谱

河南美食顶呱呱-陈善友,胡玉昌简谱

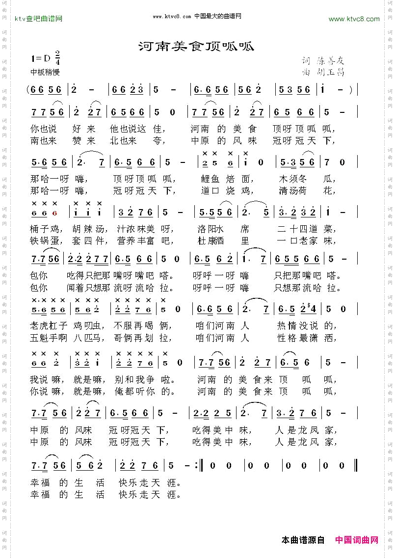
河南美食顶呱呱

河南美食顶呱呱

相关话题:陈善友   胡玉昌

乐器分类
戏曲专栏
热门话题