首页 > 声乐 > 简谱 / 正文内容_我愿变成一条小溪-志同,赵秀富简谱

我愿变成一条小溪-志同,赵秀富简谱

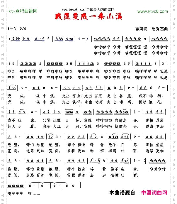
我愿变成一条小溪

我愿变成一条小溪

相关话题:志同   赵秀富

乐器分类
戏曲专栏
热门话题