首页 > 声乐 > 简谱 / 正文内容_玩真的-玩真的简谱

玩真的-玩真的简谱

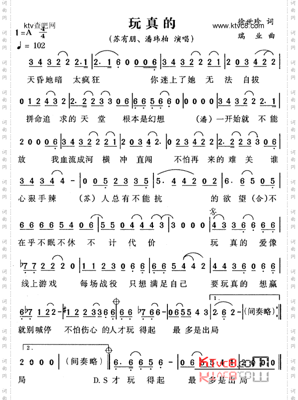
玩真的

相关话题:玩真的

乐器分类
戏曲专栏
热门话题