首页 > 声乐 > 简谱 / 正文内容_半兽人-半兽人简谱

半兽人-半兽人简谱

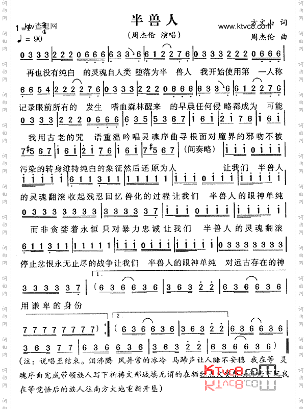
半兽人

相关话题:半兽人

乐器分类
戏曲专栏
热门话题