首页 > 声乐 > 简谱 / 正文内容_中国画青竹晨舞词刘北休曲-青竹晨舞,刘北休简谱

中国画青竹晨舞词刘北休曲-青竹晨舞,刘北休简谱

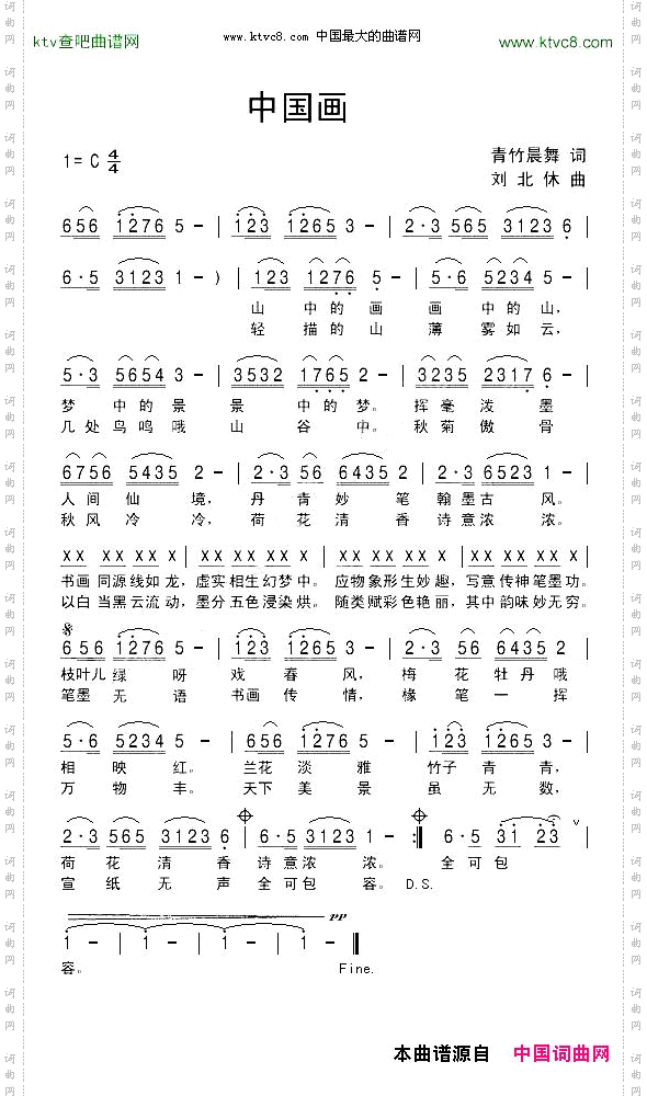
中国画青竹晨舞词刘北休曲

中国画青竹晨舞词刘北休曲

相关话题:青竹晨舞   刘北休

乐器分类
戏曲专栏
热门话题