首页 > 声乐 > 简谱 / 正文内容_张开梦想的翅膀-何丽华,朱华胜简谱

张开梦想的翅膀-何丽华,朱华胜简谱

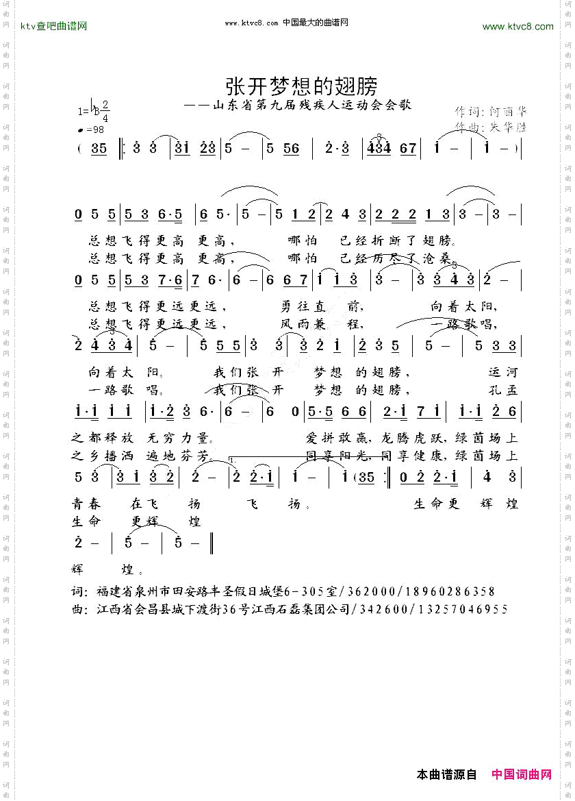
张开梦想的翅膀

张开梦想的翅膀

相关话题:何丽华   朱华胜

乐器分类
戏曲专栏
热门话题