首页 > 声乐 > 简谱 / 正文内容_哥妹情诉-哥妹情诉,倪伟,温馨,倪伟,倪伟简谱

哥妹情诉-哥妹情诉,倪伟,温馨,倪伟,倪伟简谱

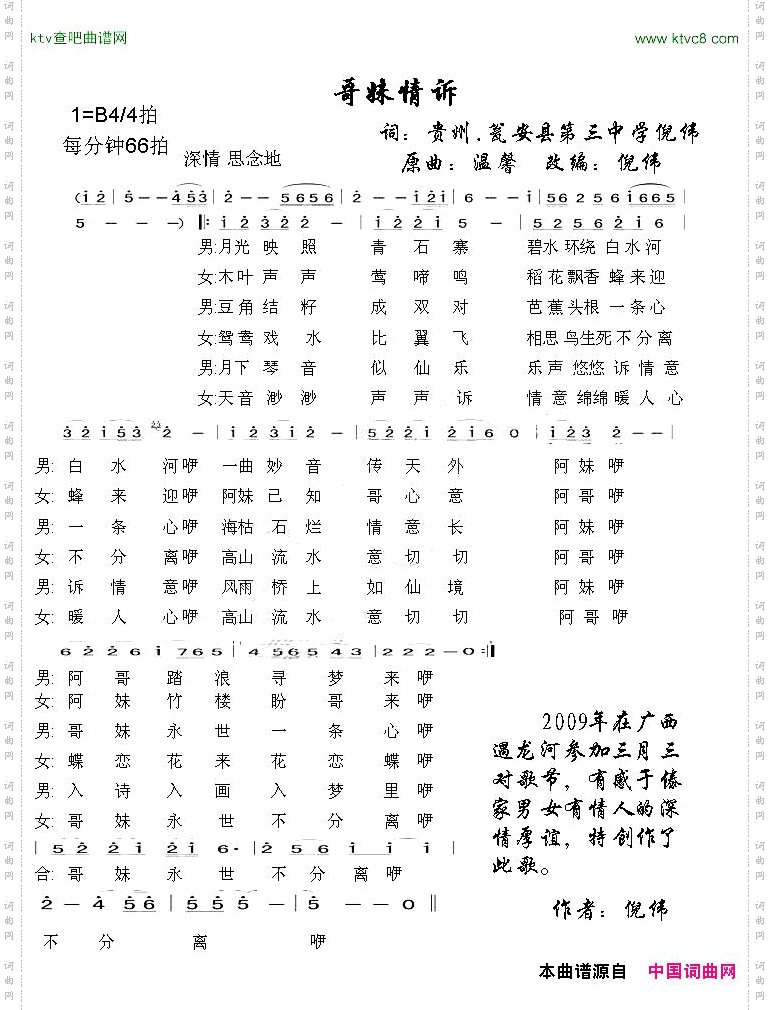
哥妹情诉

相关话题:哥妹情诉   倪伟   温馨   倪伟   倪伟

乐器分类
戏曲专栏
热门话题