首页 > 声乐 > 简谱 / 正文内容_女人不是妖-女人不是妖,陈伟,陈伟,司徒兰芳简谱

女人不是妖-女人不是妖,陈伟,陈伟,司徒兰芳简谱

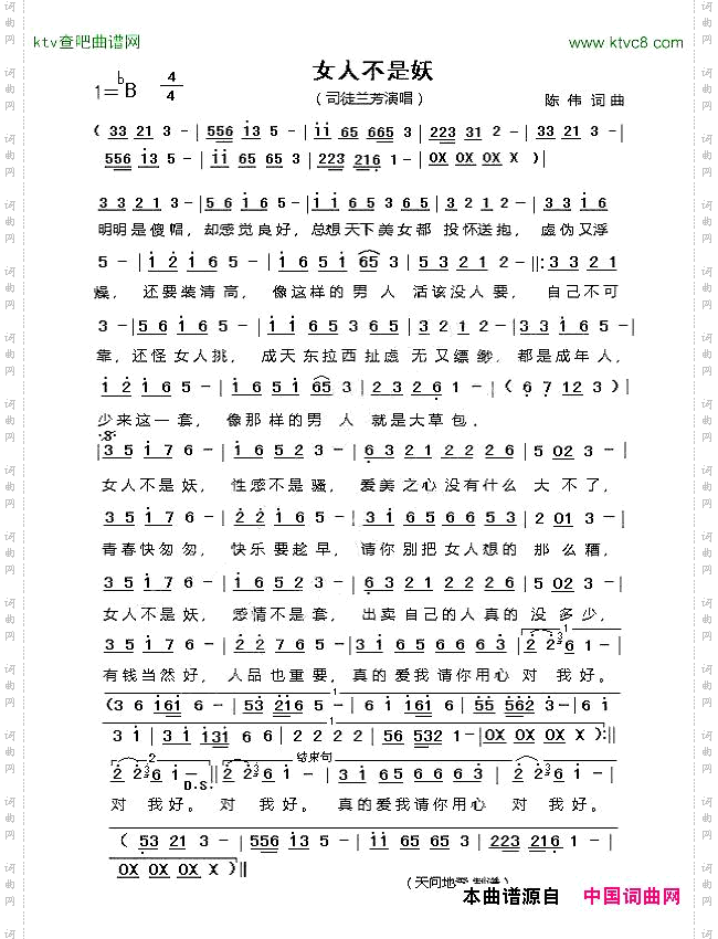
女人不是妖

相关话题:女人不是妖   陈伟   陈伟   司徒兰芳

乐器分类
戏曲专栏
热门话题