首页 > 声乐 > 简谱 / 正文内容_问明月_2013央视中秋晚会开场曲-问明月,庄娇,乔羽,谷建芬,凤凰传奇简谱

问明月_2013央视中秋晚会开场曲-问明月,庄娇,乔羽,谷建芬,凤凰传奇简谱

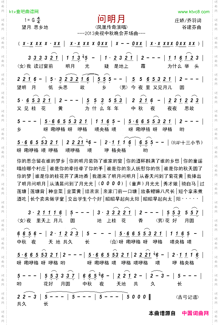
问明月_2013央视中秋晚会开场曲

相关话题:问明月   庄娇   乔羽   谷建芬   凤凰传奇

乐器分类
戏曲专栏
热门话题